我们之前已经了解了B+树和Hash索引的原理,这些索引结构给我们提供了高效的索引方式,不过这些索引信息以及数据记录都是保存在文件上的,确切说是存储在页结构中。
对数据库的存储结构以及页结构的底层进行了解,可以加深我们对索引运行机制的认识,从而你对索引的存储、查询原理,以及对SQL查询效率有更深的理解。
今天的课程主要包括下面几个部分:
- 数据库中的存储结构是怎样的?页、区、段和表空间分别指的是什么?
- 为什么页(Page)是数据库存储空间的基本单位?
- 从数据页的角度来看,B+树是如何进行查询的?
数据库中的存储结构是怎样的
记录是按照行来存储的,但是数据库的读取并不以行为单位,否则一次读取(也就是一次I/O操作)只能处理一行数据,效率会非常低。因此在数据库中,不论读一行,还是读多行,都是将这些行所在的页进行加载。也就是说,数据库管理存储空间的基本单位是页(Page)。
一个页中可以存储多个行记录(Row),同时在数据库中,还存在着区(Extent)、段(Segment)和表空间(Tablespace)。行、页、区、段、表空间的关系如下图所示:

从图中你能看到一个表空间包括了一个或多个段,一个段包括了一个或多个区,一个区包括了多个页,而一个页中可以有多行记录,这些概念我简单给你讲解下。
区(Extent)是比页大一级的存储结构,在InnoDB存储引擎中,一个区会分配64个连续的页。因为InnoDB中的页大小默认是16KB,所以一个区的大小是64*16KB=1MB。
段(Segment)由一个或多个区组成,区在文件系统是一个连续分配的空间(在InnoDB中是连续的64个页),不过在段中不要求区与区之间是相邻的。段是数据库中的分配单位,不同类型的数据库对象以不同的段形式存在。当我们创建数据表、索引的时候,就会相应创建对应的段,比如创建一张表时会创建一个表段,创建一个索引时会创建一个索引段。
表空间(Tablespace)是一个逻辑容器,表空间存储的对象是段,在一个表空间中可以有一个或多个段,但是一个段只能属于一个表空间。数据库由一个或多个表空间组成,表空间从管理上可以划分为系统表空间、用户表空间、撤销表空间、临时表空间等。
在InnoDB中存在两种表空间的类型:共享表空间和独立表空间。如果是共享表空间就意味着多张表共用一个表空间。如果是独立表空间,就意味着每张表有一个独立的表空间,也就是数据和索引信息都会保存在自己的表空间中。独立的表空间可以在不同的数据库之间进行迁移。
你可以通过下面的命令来查看InnoDB的表空间类型:
1 | mysql > show variables like 'innodb_file_per_table'; |

你能看到innodb_file_per_table=ON,这就意味着每张表都会单独保存为一个.ibd文件。
数据页内的结构是怎样的
页(Page)如果按类型划分的话,常见的有数据页(保存B+树节点)、系统页、Undo页和事务数据页等。数据页是我们最常使用的页。
表页的大小限定了表行的最大长度,不同DBMS的表页大小不同。比如在MySQL的InnoDB存储引擎中,默认页的大小是16KB,我们可以通过下面的命令来进行查看:
1 | mysql> show variables like '%innodb_page_size%'; |

在SQL Server的页大小为8KB,而在Oracle中我们用术语“块”(Block)来代表“页”,Oralce支持的块大小为2KB,4KB,8KB,16KB,32KB和64KB。
数据库I/O操作的最小单位是页,与数据库相关的内容都会存储在页结构里。数据页包括七个部分,分别是文件头(File Header)、页头(Page Header)、最大最小记录(Infimum+supremum)、用户记录(User Records)、空闲空间(Free Space)、页目录(Page Directory)和文件尾(File Tailer)。
页结构的示意图如下所示:

这7个部分到底有什么作用呢?我简单梳理下:

实际上,我们可以把这7个数据页分成3个部分。
首先是文件通用部分,也就是文件头和文件尾。它们类似集装箱,将页的内容进行封装,通过文件头和文件尾校验的方式来确保页的传输是完整的。
在文件头中有两个字段,分别是FIL_PAGE_PREV和FIL_PAGE_NEXT,它们的作用相当于指针,分别指向上一个数据页和下一个数据页。连接起来的页相当于一个双向的链表,如下图所示:

需要说明的是采用链表的结构让数据页之间不需要是物理上的连续,而是逻辑上的连续。
我们之前讲到过Hash算法,这里文件尾的校验方式就是采用Hash算法进行校验。举个例子,当我们进行页传输的时候,如果突然断电了,造成了该页传输的不完整,这时通过文件尾的校验和(checksum值)与文件头的校验和做比对,如果两个值不相等则证明页的传输有问题,需要重新进行传输,否则认为页的传输已经完成。
第二个部分是记录部分,页的主要作用是存储记录,所以“最小和最大记录”和“用户记录”部分占了页结构的主要空间。另外空闲空间是个灵活的部分,当有新的记录插入时,会从空闲空间中进行分配用于存储新记录,如下图所示:

第三部分是索引部分,这部分重点指的是页目录,它起到了记录的索引作用,因为在页中,记录是以单向链表的形式进行存储的。单向链表的特点就是插入、删除非常方便,但是检索效率不高,最差的情况下需要遍历链表上的所有节点才能完成检索,因此在页目录中提供了二分查找的方式,用来提高记录的检索效率。这个过程就好比是给记录创建了一个目录:
- 将所有的记录分成几个组,这些记录包括最小记录和最大记录,但不包括标记为“已删除”的记录。
- 第1组,也就是最小记录所在的分组只有1个记录;最后一组,就是最大记录所在的分组,会有1-8条记录;其余的组记录数量在4-8条之间。这样做的好处是,除了第1组(最小记录所在组)以外,其余组的记录数会尽量平分。
- 在每个组中最后一条记录的头信息中会存储该组一共有多少条记录,作为n_owned字段。
- 页目录用来存储每组最后一条记录的地址偏移量,这些地址偏移量会按照先后顺序存储起来,每组的地址偏移量也被称之为槽(slot),每个槽相当于指针指向了不同组的最后一个记录。如下图所示:

页目录存储的是槽,槽相当于分组记录的索引。我们通过槽查找记录,实际上就是在做二分查找。这里我以上面的图示进行举例,5个槽的编号分别为0,1,2,3,4,我想查找主键为9的用户记录,我们初始化查找的槽的下限编号,设置为low=0,然后设置查找的槽的上限编号high=4,然后采用二分查找法进行查找。
首先找到槽的中间位置p=(low+high)/2=(0+4)/2=2,这时我们取编号为2的槽对应的分组记录中最大的记录,取出关键字为8。因为9大于8,所以应该会在槽编号为(p,high]的范围进行查找
接着重新计算中间位置p’=(p+high)/2=(2+4)/2=3,我们查找编号为3的槽对应的分组记录中最大的记录,取出关键字为12。因为9小于12,所以应该在槽3中进行查找。
遍历槽3中的所有记录,找到关键字为9的记录,取出该条记录的信息即为我们想要查找的内容。
从数据页的角度看B+树是如何进行查询的
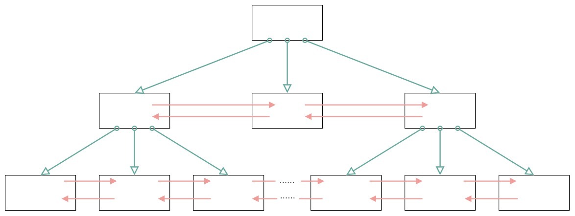
MySQL的InnoDB存储引擎采用B+树作为索引,而索引又可以分成聚集索引和非聚集索引(二级索引),这些索引都相当于一棵B+树,如图所示。一棵B+树按照节点类型可以分成两部分:
- 叶子节点,B+树最底层的节点,节点的高度为0,存储行记录。
- 非叶子节点,节点的高度大于0,存储索引键和页面指针,并不存储行记录本身。

我们刚才学习了页结构的内容,你可以用页结构对比,看下B+树的结构。
在一棵B+树中,每个节点都是一个页,每次新建节点的时候,就会申请一个页空间。同一层上的节点之间,通过页的结构构成一个双向的链表(页文件头中的两个指针字段)。非叶子节点,包括了多个索引行,每个索引行里存储索引键和指向下一层页面的页面指针。最后是叶子节点,它存储了关键字和行记录,在节点内部(也就是页结构的内部)记录之间是一个单向的链表,但是对记录进行查找,则可以通过页目录采用二分查找的方式来进行。
当我们从页结构来理解B+树的结构的时候,可以帮我们理解一些通过索引进行检索的原理:
1.B+树是如何进行记录检索的?
如果通过B+树的索引查询行记录,首先是从B+树的根开始,逐层检索,直到找到叶子节点,也就是找到对应的数据页为止,将数据页加载到内存中,页目录中的槽(slot)采用二分查找的方式先找到一个粗略的记录分组,然后再在分组中通过链表遍历的方式查找记录。
2.普通索引和唯一索引在查询效率上有什么不同?
我们创建索引的时候可以是普通索引,也可以是唯一索引,那么这两个索引在查询效率上有什么不同呢?
唯一索引就是在普通索引上增加了约束性,也就是关键字唯一,找到了关键字就停止检索。而普通索引,可能会存在用户记录中的关键字相同的情况,根据页结构的原理,当我们读取一条记录的时候,不是单独将这条记录从磁盘中读出去,而是将这个记录所在的页加载到内存中进行读取。InnoDB存储引擎的页大小为16KB,在一个页中可能存储着上千个记录,因此在普通索引的字段上进行查找也就是在内存中多几次“判断下一条记录”的操作,对于CPU来说,这些操作所消耗的时间是可以忽略不计的。所以对一个索引字段进行检索,采用普通索引还是唯一索引在检索效率上基本上没有差别。
总结
今天我们学习了数据库中的基本存储单位,也就是页(Page),磁盘I/O都是基于页来进行读取的,在页之上还有区、段和表空间,它们都是更大的存储单位。我们在分配空间的时候会按照页为单位来进行分配,同一棵树上同一层的页与页之间采用双向链表,而在页里面,记录之间采用的单向链表的方式。
链表这种数据结构的特点是增加、删除比较方便,所以在对记录进行删除的时候,有时候并不是真的删除了记录,而只是逻辑上的删除,也就是在标记为上标记为“已删除”。但链表还有个问题就是查找效率低,因此在页结构中还专门设计了页目录这个模块,专门给记录做一个目录,通过二分查找法的方式进行检索提升效率。

今天的内容到这里就结束了,最后我给你留两道思考题吧。按照聚集索引存储的行记录在物理上连续的,还是逻辑上连续的?另外,通过B+树进行记录的检索流程是怎样的?
欢迎你在评论区写下你的思考,我会和你一起交流,也欢迎把这篇文章分享给你的朋友或者同事,一起来交流。