你好,我是邢云阳。
在上节课,我们用之前讲过的 Agentic RAG 的例子,了解了 LangGraph 出现的必要性。之后通过类比 Dify 工作流的学习方式,快速入门了 LangGraph 的节点、边、State 等最核心的概念以及代码的编写方法。如果对于上节课的代码感觉很难理解的同学,建议可以多去实操一下 Dify 工作流,然后按我们的思路做类比学习,就好理解了。
为了让你对 LangGraph 的使用理解得更加透彻,掌握得更加熟练,这一章我精心设计了一个智能编程助手的项目。
我们知道如果想要让 AI 帮我们生成代码,一般有几种做法。
第一种是直接在 DeepSeek 等问答网页前端输入提示词生成代码,这种最简单,属于体验级的代码生成;第二种则是使用 Cursor 等代码生成工具;第三种则是利用 LangGraph + Prompt 去完成代码的生成,使用这种方法的好处在于我们可以自己定制代码的结构,输出会比较稳定。
使用 LangGraph 生成最简单 Web 后端代码
由于 Python 自身比较简单灵活,因此用 AI 生成 Python 相对来说也不是什么困难的事情。因此这节课,我们就以生成 Golang 语言的 Web 后端代码为例,使用 LangGraph + Prompt 进行实现。
最简单 Golang Web 后端代码示例
先来看一下一个最简单的 Golang Web 后端代码的示例。通过前面章节的学习,我们知道在 Python 中,可以使用 FastAPI 来完成后 Web 后端的代码编写。那在 Golang 语言中呢,同样也有框架辅助我们写代码,这就是 gin。下面展示一个用 gin 编写的最简单的后端:
1 | package main |
在这个代码中,包含一条路由,也就是第 9 行的 /hello,该路由支持的 HTTP Method 是 GET。我们知道每条路由都会对应一个路由处理函数 handler,因此代码中编写了 helloHandler方法用于执行路由被访问后的业务逻辑,也就是第 13 ~ 15 行,业务逻辑非常简单,直接返回 “hello” 这个字符串。
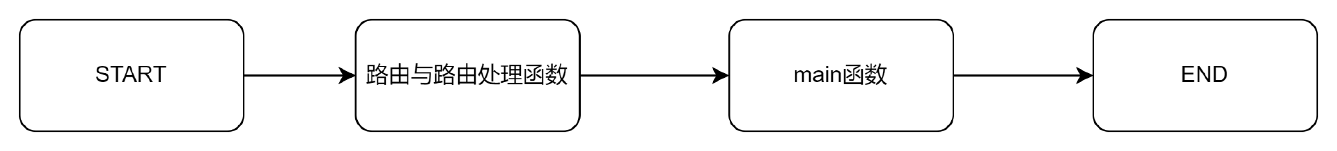
那理解了代码内容后,代码的结构也就比较清晰了。其主要分成了三块,第一块是 main 函数,第二块是路由,第三块是路由处理函数。此时,如果我们想用 LangGraph 按照上述结构稳定地生成代码,则可以设计为如下的流程:

也就是先要生成路由与路由处理函数,之后再生成 main 函数。接下来,我们就用这个思路来实现代码。
LLM 模块
首先是 LLM 模块。我们知道不管是使不使用 LangGraph 框架,gin 代码的生成最终还是要由大模型来完成的。因此我们需要先初始化好大模型客户端,供后续调用。这里我是借助的 LangChain 封装的 OpenAI 客户端,然后将其配置成了 DeepSeek 的客户端。代码如下:
1 | import os |
我使用的大模型是 DeepSeek 官方的 chat 模型,也就是 V3。大家在运行这段代码前,需要执行 pip install langchain_openai 来安装一下 Langchain 相关依赖。
State, 路由与路由处理函数
LLM 模块准备好后,我们开始业务代码的编写。首先是中央状态存储器 State 的数据结构的建立。在这段代码中,结构是非常简单的,只有 main、路由和路由处理函数三块。其中 main 函数只有一个,因此可以用一个 string 表示,而路由与路由处理函数未来可能写多个,因此可以用一个 list 表示。最终 State 的代码为:
1 | class State(TypedDict): |
有了 State 后,我们来实现路由与路由处理函数处理节点。先上代码。
1 | systemMessage = """ |
代码的第 14 行,我定义了 route_node 方法,用于执行生成代码的任务。该方法的实现主要在于 Prompt 的编写。为了演示简单,我暂时将路由与路由出来函数放在一个节点任务中生成,然后用 ### 隔开。用 ### 隔开的目的是方便将生成的代码拆分出来后,放置到 State 的 routes 和 handlers 列表中。
之后就是第 21 行的请求大模型的代码了,这里使用的是 LangChain 框架的写法。请求大模型时包含了两个 Pompt,一个是系统 Prompt,主要是为大模型设置了人设与限定。另一个便是 User Prompt,也就是上文的生成代码的 Prompt。
完成大模型的请求后,大模型会将返回的答案放置到 content 字段中,之后就可以调用拆分函数,也就是第 6 行的 split_route_handler 进行拆分了。拆分代码很简单,就是调用了 python 内置的字符串的 split 方法。我们预期的代码输出为:
1 | r.GET("/hello", helloHandler) |
main 函数节点
路由代码生成完毕后,接下来就是生成 main 函数了。套路与上面一模一样,区别主要是提示词的变化。还是先上代码:
1 | def main_node(state): |
由于我们预期生成的 main 函数的代码为:
1 | func main() { |
因此提示词的第一条创建 gin 对象对应的就是 r := gin.Default(),而提示词的第二条拥有路由代码,并将 {routes} 代码贴上,是为了让大模型生成统一格式的 main 函数。
什么叫统一格式呢?比如路由代码是 r.GET,此时大模型看到路由代码用的是 r,而不是 abc 后,在生成 r := gin.Default() 代码时,就不会写成 abc := gin.Default(),而是会统一变量名称。这也是写提示词的一个技巧。
为了防止大模型自作聪明地根据路由将 handler 再生成一遍,还要加上一句 “handler代码已经生成,无需再进行处理”。最后是启动端口为 8080,对应代码 r.Run(“:8080”)。
其他代码的套路与路由节点一模一样,我就不再重复了。
组成 Graph
最后是将节点组成 Graph,然后运行的代码。代码如下:
1 | if __name__ == "__main__": |
看过上节课代码的同学,再看这段代码就会感觉很简单了,需要留意的只有两点。
第一是第 12 行为 Graph 的运行赋初始值。上节课的代码中,我们赋的值是“羊排”,但这节课,由于是让大模型从零生成代码,因此初值是空的。
第二是第 14 行到 16 行,将生成的代码打印出来。这里你可以思考一下,为什么没打印 code[“routes”] 的代码?
原因很简单,因为 routes 的代码已经在 main 函数中了。
最后的执行效果是后面这样,与预期一模一样。

生成 Web 后端代码进阶
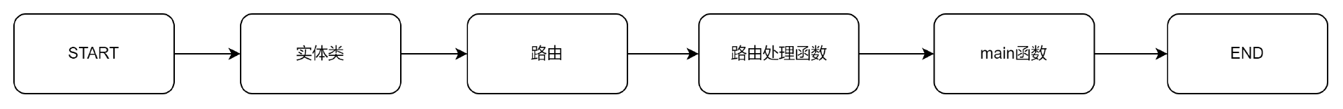
接下来,我们继续进阶。不管是用什么语言,熟悉这种 Web 后端代码的同学都知道,在代码中,我们一般会定义一些 models,也就是实体类,用于表示像是数据库表对象等等的结构。
所以在接下来的代码,我就增加对于实体类的创建,并且分成两个节点任务,分别生成路由和路由处理函数。此时 Graph 就变成了这样:

实体类节点
思路梳理清楚了,下面我们来写代码。首先是实体类节点,代码如下:
1 | models_prompt = """ |
和之前一样,主要还是 Prompt 的编写,这个比较简单,主要是写明白需要什么字段,每个字段的类型是什么就可以。
路由节点
接下来看路由节点的代码:
1 | route_prompt = """ |
这一版本的路由函数,我换了两条路由,一条是获取应用版本的,另一条则是获取用户列表的。请注意生成的代码每一段都是什么意思,我都写得很清楚,还给出了示例。这样有助于大模型理解代码应该怎么写,给出稳定的代码输出。
路由处理函数节点
再来看一下路由处理函数的代码:
1 | handler_prompt = """ |
路由处理函数需要根据定义的路由来写,因此需要将上一节点生成的路由代码传入到 Prompt 中。此外,路由处理函数中往往会用到实体类,比如去数据库中读取数据存入到实体对象,然后返回给前端。因此实体类节点生成的实体类也需要传入。
其他的就是功能描述了,描述清楚想让函数处理什么业务。这几点处理清楚后,其他就没什么难度了。
组成Graph
节点任务函数写完后,就可以组成 Graph 了。代码如下:
1 | if __name__ == "__main__": |
套路和之前是一样的,不再重复。接下来直接进行测试即可。
首先生成了实体类。

之后生成了后端代码。

符合我们的要求。
总结
这节课,我们使用 LangGraph + Prompt 的手法完成了 Golang 的 Web 后端代码的生成。Golang Web 后端代码,本身非常简单,无论你是否有 Golang 开发经验,都无需特别关注代码的实现细节,只需要理解代码的结构即可。
这是因为理解了代码的结构,我们才能更好的理解 LangGraph 在这个项目中的作用。那 LangGraph 起到了什么作用呢?其实就是工作流的作用。我们将代码的每一个结构都定义成一个节点,每一个节点利用 Prompt 工程单独生成代码,并且节点间还能进行数据的流转,使得像是路由处理函数这样的需要依赖其他结构代码的节点,方便它们拿到其他节点的数据,来生成本节点的代码。
有了结构拆分和流程控制后,大模型就可以按照我们的思路稳定的输出代码。这节课代码已经上传到了 GitHub,你可以课后下载下来,自己动手测试一下,加深理解。
思考题
通常我们在写代码前,会先进行实体类的设计,形成数据文档。如何对我们的代码进行改造,利用已经写好的数据文档生成实体类代码呢?
欢迎你在留言区展示你的思考结果,我们一起探讨。如果你觉得这节课的内容对你有帮助的话,也欢迎你分享给其他朋友,我们下节课再见!