上一讲,我们学习了一个精妙的想法,Disruptor通过缓存行填充,来利用好CPU的高速缓存。不知道你做完课后思考题之后,有没有体会到高速缓存在实践中带来的速度提升呢?
不过,利用CPU高速缓存,只是Disruptor“快”的一个因素,那今天我们就来看一看Disruptor快的另一个因素,也就是“无锁”,而尽可能发挥CPU本身的高速处理性能。
缓慢的锁
Disruptor作为一个高性能的生产者-消费者队列系统,一个核心的设计就是通过RingBuffer实现一个无锁队列。
上一讲里我们讲过,Java里面的基础库里,就有像LinkedBlockingQueue这样的队列库。但是,这个队列库比起Disruptor里用的RingBuffer要慢上很多。慢的第一个原因我们说过,因为链表的数据在内存里面的布局对于高速缓存并不友好,而RingBuffer所使用的数组则不然。

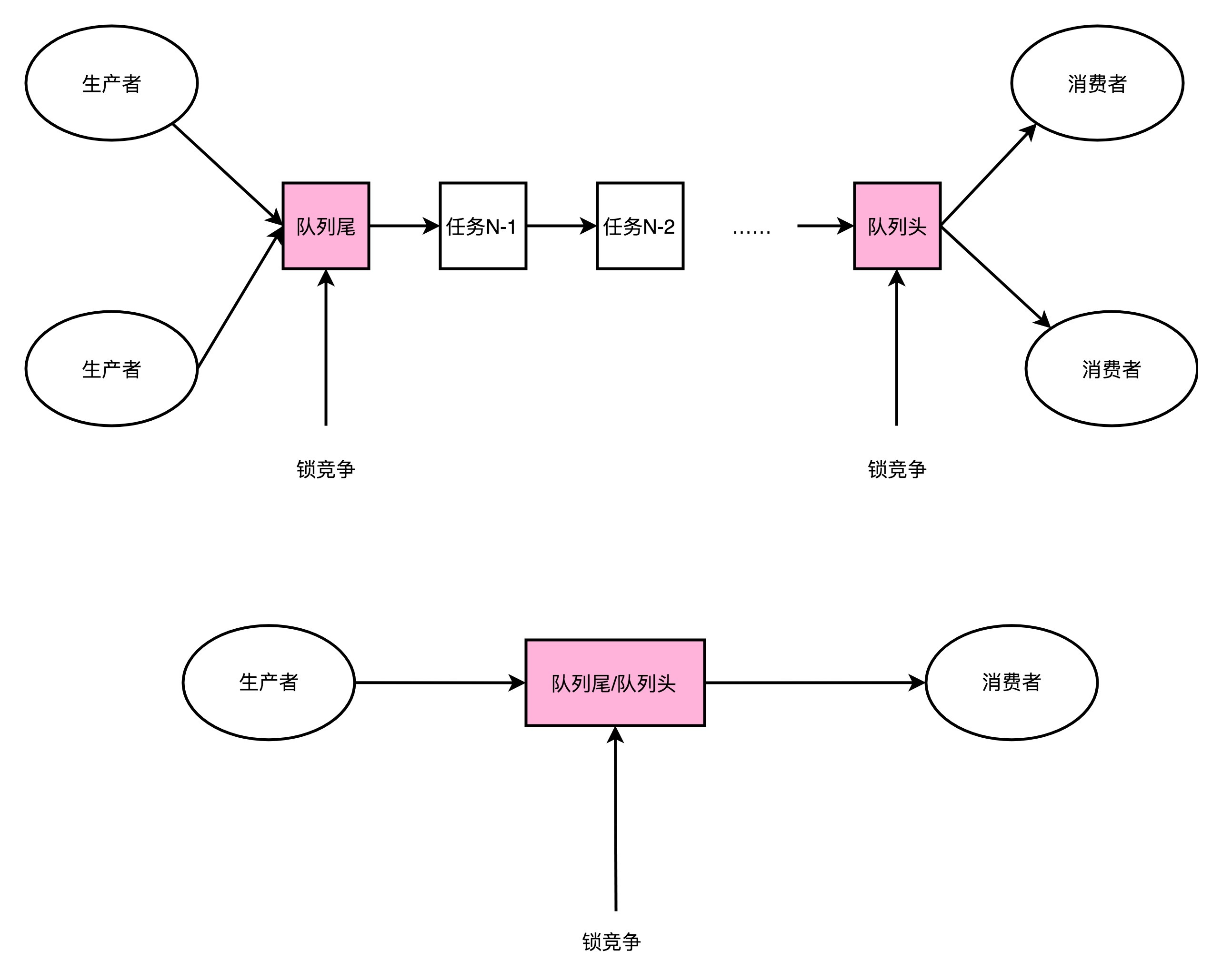
LinkedBlockingQueue慢,有另外一个重要的因素,那就是它对于锁的依赖。在生产者-消费者模式里,我们可能有多个消费者,同样也可能有多个生产者。多个生产者都要往队列的尾指针里面添加新的任务,就会产生多个线程的竞争。于是,在做这个事情的时候,生产者就需要拿到对于队列尾部的锁。同样地,在多个消费者去消费队列头的时候,也就产生竞争。同样消费者也要拿到锁。
那只有一个生产者,或者一个消费者,我们是不是就没有这个锁竞争的问题了呢?很遗憾,答案还是否定的。一般来说,在生产者-消费者模式下,消费者要比生产者快。不然的话,队列会产生积压,队列里面的任务会越堆越多。
一方面,你会发现越来越多的任务没有能够及时完成;另一方面,我们的内存也会放不下。虽然生产者-消费者模型下,我们都有一个队列来作为缓冲区,但是大部分情况下,这个缓冲区里面是空的。也就是说,即使只有一个生产者和一个消费者者,这个生产者指向的队列尾和消费者指向的队列头是同一个节点。于是,这两个生产者和消费者之间一样会产生锁竞争。
在LinkedBlockingQueue上,这个锁机制是通过ReentrantLock这个Java 基础库来实现的。这个锁是一个用Java在JVM上直接实现的加锁机制,这个锁机制需要由JVM来进行裁决。这个锁的争夺,会把没有拿到锁的线程挂起等待,也就需要经过一次上下文切换(Context Switch)。
不知道你还记不记得,我们在[第28讲]讲过的异常和中断,这里的上下文切换要做的和异常和中断里的是一样的。上下文切换的过程,需要把当前执行线程的寄存器等等的信息,保存到线程栈里面。而这个过程也必然意味着,已经加载到高速缓存里面的指令或者数据,又回到了主内存里面,会进一步拖慢我们的性能。
我们可以按照Disruptor介绍资料里提到的Benchmark,写一段代码来看看,是不是真是这样的。这里我放了一段Java代码,代码的逻辑很简单,就是把一个long类型的counter,从0自增到5亿。一种方式是没有任何锁,另外一个方式是每次自增的时候都要去取一个锁。
你可以在自己的电脑上试试跑一下这个程序。在我这里,两个方式执行所需要的时间分别是207毫秒和9603毫秒,性能差出了将近50倍。
1 | package com.xuwenhao.perf.jmm; |
1 | Time spent is 207ms without lock |
无锁的RingBuffer
加锁很慢,所以Disruptor的解决方案就是“无锁”。这个“无锁”指的是没有操作系统层面的锁。实际上,Disruptor还是利用了一个CPU硬件支持的指令,称之为CAS(Compare And Swap,比较和交换)。在Intel CPU里面,这个对应的指令就是 cmpxchg。那么下面,我们就一起从Disruptor的源码,到具体的硬件指令来看看这是怎么一回事儿。
Disruptor的RingBuffer是这么设计的,它和直接在链表的头和尾加锁不同。Disruptor的RingBuffer创建了一个Sequence对象,用来指向当前的RingBuffer的头和尾。这个头和尾的标识呢,不是通过一个指针来实现的,而是通过一个序号。这也是为什么对应源码里面的类名叫Sequence。

在这个RingBuffer当中,进行生产者和消费者之间的资源协调,采用的是对比序号的方式。当生产者想要往队列里加入新数据的时候,它会把当前的生产者的Sequence的序号,加上需要加入的新数据的数量,然后和实际的消费者所在的位置进行对比,看看队列里是不是有足够的空间加入这些数据,而不会覆盖掉消费者还没有处理完的数据。
在Sequence的代码里面,就是通过compareAndSet这个方法,并且最终调用到了UNSAFE.compareAndSwapLong,也就是直接使用了CAS指令。
1 | public boolean compareAndSet(final long expectedValue, final long newValue) |
这个CAS指令,也就是比较和交换的操作,并不是基础库里的一个函数。它也不是操作系统里面实现的一个系统调用,而是一个CPU硬件支持的机器指令。在我们服务器所使用的Intel CPU上,就是cmpxchg这个指令。
1 | compxchg [ax] (隐式参数,EAX累加器), [bx] (源操作数地址), [cx] (目标操作数地址) |
cmpxchg指令,一共有三个操作数,第一个操作数不在指令里面出现,是一个隐式的操作数,也就是EAX累加寄存器里面的值。第二个操作数就是源操作数,并且指令会对比这个操作数和上面的累加寄存器里面的值。
如果值是相同的,那一方面,CPU会把ZF(也就是条件码寄存器里面零标志位的值)设置为1,然后再把第三个操作数(也就是目标操作数),设置到源操作数的地址上。如果不相等的话,就会把源操作数里面的值,设置到累加器寄存器里面。
我在这里放了这个逻辑对应的伪代码,你可以看一下。如果你对汇编指令、条件码寄存器这些知识点有点儿模糊了,可以回头去看看[第5][讲]、[第6讲]关于汇编指令的部分。
1 | IF [ax]< == [bx] THEN [ZF] = 1, [bx] = [cx] |
单个指令是原子的,这也就意味着在使用CAS操作的时候,我们不再需要单独进行加锁,直接调用就可以了。
没有了锁,CPU这部高速跑车就像在赛道上行驶,不会遇到需要上下文切换这样的红灯而停下来。虽然会遇到像CAS这样复杂的机器指令,就好像赛道上会有U型弯一样,不过不用完全停下来等待,我们CPU运行起来仍然会快很多。
那么,CAS操作到底会有多快呢?我们还是用一段Java代码来看一下。
1 | package com.xuwenhao.perf.jmm; |
1 | Time spent is 3867ms with cas |
和上面的counter自增一样,只不过这一次,自增我们采用了AtomicLong这个Java类。里面的incrementAndGet最终到了CPU指令层面,在实现的时候用的就是CAS操作。可以看到,它所花费的时间,虽然要比没有任何锁的操作慢上一个数量级,但是比起使用ReentrantLock这样的操作系统锁的机制,还是减少了一半以上的时间。
总结延伸
好了,咱们专栏的正文内容到今天就要结束了。今天最后一讲,我带着你一起看了Disruptor代码的一个核心设计,也就是它的RingBuffer是怎么做到无锁的。
Java基础库里面的BlockingQueue,都需要通过显示地加锁来保障生产者之间、消费者之间,乃至生产者和消费者之间,不会发生锁冲突的问题。
但是,加锁会大大拖慢我们的性能。在获取锁过程中,CPU没有去执行计算的相关指令,而要等待操作系统或者JVM来进行锁竞争的裁决。而那些没有拿到锁而被挂起等待的线程,则需要进行上下文切换。这个上下文切换,会把挂起线程的寄存器里的数据放到线程的程序栈里面去。这也意味着,加载到高速缓存里面的数据也失效了,程序就变得更慢了。
Disruptor里的RingBuffer采用了一个无锁的解决方案,通过CAS这样的操作,去进行序号的自增和对比,使得CPU不需要获取操作系统的锁。而是能够继续顺序地执行CPU指令。没有上下文切换、没有操作系统锁,自然程序就跑得快了。不过因为采用了CAS这样的忙等待(Busy-Wait)的方式,会使得我们的CPU始终满负荷运转,消耗更多的电,算是一个小小的缺点。
程序里面的CAS调用,映射到我们的CPU硬件层面,就是一个机器指令,这个指令就是cmpxchg。可以看到,当想要追求最极致的性能的时候,我们会从应用层、贯穿到操作系统,乃至最后的CPU硬件,搞清楚从高级语言到系统调用,乃至最后的汇编指令,这整个过程是怎么执行代码的。而这个,也是学习组成原理这门专栏的意义所在。
推荐阅读
不知道上一讲说的Disruptor相关材料,你有没有读完呢?如果没有读完的话,我建议你还是先去研读一下。
如果你已经读完了,这里再给你推荐一些额外的阅读材料,那就是著名的Implement Lock-Free Queues这篇论文。你可以更深入地学习一下,怎么实现一个无锁队列。
课后思考
最后,给你留一道思考题。这道题目有点儿难,不过也很有意思。
请你阅读一下Disruptor开源库里面的Sequence这个类的代码,看看它和一个普通的AtomicLong到底有什么区别,以及为什么它要这样实现。
欢迎在留言区写下你的思考和答案,和大家一起探讨应用层和硬件层之间的关联性。如果有收获,你也可以把这篇文章分享给你的朋友。