你好,我是黄申。

之前和你聊了概率在朴素贝叶斯分类算法中的应用。其实,概率在很多像信息论这样的应用数学领域都有广泛的应用。信息论最初就是运用概率和统计的方法,来研究信息传递的。最近几十年,人们逐步开始使用信息论的概念和思想,来描述机器学习领域中的概率分布,并衡量概率分布之间的相似性。随之而来的是,人们发明了不少相关的机器学习算法。所以接下来的几节,我来介绍一些基于信息论知识的内容。

信息论的概念比较枯燥,为了让你更轻松地学习,让我从一个生动的案例开始。最近我在朋友圈看到一个小游戏,叫“测一测你是金庸笔下的哪个人物?”。玩这个游戏的步骤是,先做几道题,然后根据你的答案,生成对应的结果。下面是我几位朋友答题之后得到的结果。

这种测试挺好玩的,而且好像有很多类似的,比如测星座啊、测运势啊等等。那你知道这种心理或者性格测试的题目是怎么设计的吗?

通常,这种心理测试会有一个题库,包含了许多小题目,也就是从不同的方面,来测试人的性格。不过,针对特定的测试目标,我们可能没必要让被测者回答所有的问题。那么,问卷设计者应该如何选择合适的题目,才能在读者回答尽量少的问题的同时,相对准确地测出自己是什么“性格”呢?这里,我们就需要引入基于概率分布的信息熵的概念,来解决这个问题。

什么是信息熵?

我还是拿刚刚那个“测测你是哪个武侠人物”的小游戏举例子。我设计了一个测试题,你可以看看下面这个图表。这个表里一共有10个人物。每个人物都有性别、智商、情商、侠义和个性共5个属性。相应地,我会设计5道题目分别测试这5个属性所占的比例。最后,将测出的5个属性和答案中的武侠人物对照,就可以找到最接近的答案,也就是被测者对应的武侠人物。

这个过程非常简单,你应该很容易就能理解。在这个设计过程中,起决定性作用的环节其实就是,如何设计这5道题目。比如,题目的先后顺序会不会直接影响要回答问题的数量?每个问题在人物划分上,是否有着不同的区分能力?这些都是信息熵要解决的问题。

我们先来看,这里的区分能力指的是什么呢?每一个问题都会将被测试者划分为不同的人物分组。如果某个问题将属于不同人物分组的被测者,尽可能地划分到了相应的分组,那么我们认为这个问题的区分能力较强。相反,如果某个问题无法将属于不同人物分组的被测者划分开来,那么我们认为这个问题的区分能力较弱。为了帮你进一步理解,我们先来比较一下“性别”和“智商”这两个属性。

首先,性别属性将武侠人物平均地划分为一半一半,也就是说“男”和“女”出现的先验概率是各50%。如果我们假设被测试的人群,其男女性别的概率分布也是50%和50%,那么关于性别的测试题,就能将被测者的群体大致等分。

我们再来看智商属性。我们也将武侠人物划分为2个小集合,不过“智商高”的先验概率是80%,而“智商中等”的先验概率只有20%。同样,我们假设被测试的人群,其智商的概率分布也是类似地,那么经过关于智商的测试题之后,仍然有80%左右的不同人物还是属于同一个集合,并没有被区分开来。因此,我们可以认为关于“智商”的测试题,在对人物进行分组这个问题上,其能力要弱于“性别”的测试题。

上述这些是不是都很简单?这些都是我们按照感觉,或者说经验来划分的。现在,我们试着用两个科学的度量指标,信息熵(Entropy)和信息增益(Information Gain),来衡量每道题目的区分能力。

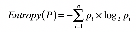
首先,怎么来理解信息熵呢?信息熵,我们通常简称为熵,其实就是用来刻画给定集合的纯净度的一个指标。你可能要问了,那纯净度是啥呢?我举个例子给你解释一下。比如说,一个集合里的元素全部是属于同一个分组,这个时候就表示最纯净,我们就说熵为0;如果这个集合里的元素是来自不同的分组,那么熵是大于0的值。其具体的计算公式如下:

其中,$n$表示集合中分组的数量,$p_{i}$表示属于第$i$个分组的元素在集合中出现的概率。

你可能要问了,这个公式是怎么来的呢?想要解释这个,我们还要从信息量说起。熵的公式是用来计算某个随机变量的信息量之期望,而信息量是信息论中的一个度量,简单来说就是,当我们观察到某个随机变量的具体值时,接收到了多少信息。而我们接收到的信息量跟发生事件的概率有关。事情发生的概率越大,产生的信息量越小;事情发生的概率越小,产生的信息量越大。

因此,我们想要设计一个能够描述信息量的函数,就要同时考虑到下面这三个特点:

  • 信息量应该为正数;
  • 一个事件的信息量和它发生的概率成反比;
  • $H(x)$与$P(x)$的对数有关。其中$H(x)$表示$x$的信息量,$P(x)$表示$x$出现的概率。假设有两个不相关的事件$x$和$y$,我们观察到这两个事件同时发生时获得的信息量,应该等于这两个事件各自发生时获得的信息量之和,用公式表达出来就是$H(x,y)=H(x)+H(y)$。之前我们说过,如果$x,y$是两个不相关的事件,那么就有$P(x,y)=P(x)*P(y)$。

依照上述这三点,我们可以设计出信息量公式:$H(x)=-log(P(x), 2)$。函数log的使用是体现了$H(x)$和$P(x)$的对数关系(我们可以使用其他大于1的数字作为对数的底,我这里使用2只是约定俗成。而最开始的负号是为了保证信息量为正)。这个公式可以量化随机变量某种取值时,所产生的信息量。最后,加上计算随机变量不同可能性所产生的信息量之期望,我们就得到了熵的公式。

从集合和分组的角度来说,如果一个集合里的元素趋向于落在同一分组里,那么告诉你某个元素属于哪个分组的信息量就越小,整个集合的熵也越小,换句话说,整个集合就越“纯净”。相反,如果一个集合里的元素趋向于分散在不同分组里,那么告诉你某个元素属于哪个分组的信息量就越大,整个集合的熵也越大,换句话说,整个集合就越“混乱”。

为了帮你理解运用,这里我再举几个例子帮助你更好地消化这个公式。我们首先来看一个集合,它只包含了来自A组的元素。

那么集合中分组的数量$n$为1,A分组的元素在集合中出现的概率为100%,所以这个集合的熵为-100%*log(100%, 2) = 0。

我们再来看另一个集合,它只包含了来自A组和B组的元素,其中A、B两组元素数量一样多,各占一半。

那么集合中分组的数量$n$为2,A和B分组的元素在集合中出现的概率各为50%,所以这个集合的熵为2*(-50%*log(50%, 2)) = 1,高于刚才那个集合。

从上述两个集合的对比可以看出,一个集合中所包含的分组越多、元素在这些分组里分布得越均匀,熵值也越大。而熵值表示了纯净的程度,或者从相反的角度来说,是混乱的程度。

好了,你已经知道单个集合的熵是如何计算的了。那么,如果将一个集合划分成多个更小的集合之后,又该如何根据这些小集合,来计算整体的熵呢?之前我们提到了信息量和熵具有加和的性质,所以对于包含多个集合的更大集合,它的信息量期望值是可以通过每个小集合的信息量期望值来推算的。具体来说,我们可以使用如下公式:

其中,$T$表示一种划分,$P_{v}$表示划分后其中某个小集合,$Entropy(P_{v})$表示某个小集合的熵,而$\frac{|Pv|} {|P|}$ 表示某个小集合出现的概率。所以这个公式其实就表示,对于多个小集合而言,其整体的熵等于各个小集合之熵的加权平均。而每个小集合的权重是其在整体中出现的概率。

我用个例子进一步解释这个公式。假设A、B、C三个集合是一个大的整体,我们现在将C组的元素和A、B组分开。

根据之前单个集合的熵计算,A和B组元素所组成的小集合,它的熵是1。而C组没有和其他组混合,所形成的小集合其熵为0。在计算前两个小集合的整体熵时,A组和B组形成的集合出现的概率为$\frac{2}{3}$,而C组形成的集合出现概率为$\frac{1}{3}$,所有整体熵$=\frac{2}{3} * 1 + \frac{1}{3} * 0 = 0.67$。

什么是信息增益?

如果我们将划分前后的整体熵做个对比,你会发现划分后的整体熵要小于划分之前的整体熵。这是因为每次划分,都可能将不同分组的元素区分开来,降低划分后每个小集合的混乱程度,也就是降低它们的熵。我们将划分后整体熵的下降,称为信息增益(Information Gain)。如果划分后整体熵下降得越多,信息增益就越大。我列出公式以便你理解。

其中T表示当前选择的特征,$Entropy§$表示选择特征$T$之前的熵,$Entropy(P_{v})$表示特征$T$取值为$v$分组的熵。减号后面的部分表示选择T做决策之后,各种取值加权平均后整体的熵。

$Gain(P,T)$表示两个熵值之差,越大表示信息增益越多,应该选择这维特征$T$。

我们把这个概念放到咱们的小游戏里就是,如果一个测试问题能够将来自不同分组的人物尽量的分开,也就是该划分对应的信息增益越高,那么我们就认为其区分能力越高,提供的信息含量也越多。好,说到这里,让我们从游戏的最开始出发,比较一下有关性别和智商的两个测试题。

在提出任何问题之前,我们无法知道被测者属于哪位武侠人物,因此所有被测者属于同一个集合。假设被测者的概率分布和这10位武侠人物的先验概率分布相同,那么被测者集合的熵为10*(-1 * 0.1 * log(0.1, 2))=3.32。

通过性别的测试问题对人物进行划分后,我们得到了两个更小的集合,每个小集合都包含5种不同的人物分组,因此每个小集合的熵是(-1 * 5 * 0.2 * log(0.2, 2)) = 2.32,两个小集合的整体熵是0.5 * 2.32 + 0.5 * 2.32 = 2.32。因此使用性别的测试题后,信息增益是3.32 - 2.32 = 1。

而通过智商的测试问题对人物分组后,我们也得到了两个小集合,一个包含了8种人物,另一个包含了2种人物。包含8种人物的小集合其熵是(-1* 8 * 0.125 * log(0.125, 2)) = 3,包含2种人物的小集合其熵是(-1* 2 * 0.5 * log(0.5, 2)) = 1。两个小集合的整体熵是0.8 * 3 + 0.2 * 1 = 2.6。因此使用智商的测试题后,信息增益是3.32 - 2.6 = 0.72,低于基于性别的测试。所以,我们可以得出结论,有关性别的测试题比有关智商的测试题更具有区分能力。

信息增益和信息熵是紧密相关的。如果说信息熵衡量了某个状态下,每个分组的纯净程度或者说混乱程度,那么信息增益就是比较了不同状态下,信息熵的差异程度。

总结

这一讲中,我们从一个有趣的人物性格测试开始,探讨了如何高效率地进行问卷调查。其中主要包含了两个要点:信息熵和信息增益。熵的计算是基于集合内各组元素分布的概率来进行的。而信息增益是集合划分前后整体熵的差值。对某个集合进行划分,都会将其中元素细分到更小的集合,而每个细分的集合纯净度就会提高,整体熵就会下降,其中下降的部分就是信息增益。

了解信息熵和信息增益的定义之后,我们可以用它们来安排测试问题的先后顺序。其核心的思路是,利用信息增益找出区分力最强的测试题。如果一道测试题可以将来自不同分组的元素分隔开来,那么就说它是有区分力的。如果分隔后,每个细分的集合其熵越趋近于0,那么我们说这个测试题的区分力越强。

思考题

假设一个集合包含了64个元素,而每个元素的分类都互不相同,那么这个集合的信息熵是多少?仔细观察一下你所计算的结果,和二进制有没有什么联系?

欢迎留言和我分享,也欢迎你在留言区写下今天的学习笔记。你可以点击“请朋友读”,把今天的内容分享给你的好友,和他一起精进。